所屬科目:研究所、轉學考(插大)-微積分
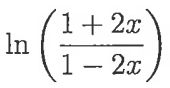
(a)
(b)
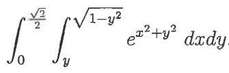
2.(10 points) Evaluate
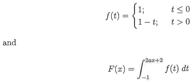
3. (10 points) Given with a > 0, find a so that F is maximum at x = -2a.
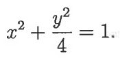
4.(10 points) Find the largest possible area of a triangle with vertices (0, 2), (1,0) and the third vertex on the ellipse
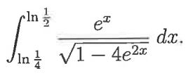
5. (10 points) Evaluate
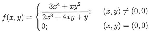
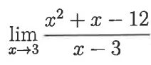
6. (10 points) Evaluate
7.(10 points) Derive the complete Taylor series expansion for about x = 0. (In the form with a general formula for )
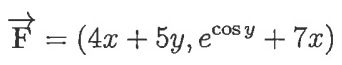
8. (10 points) Given function T(x,y) = 1+ x2-y2 , find the curve γ(t) = (x(t), y(t)) so that γ(0) = (1,4) and γ'(t) = -∇T(γ(t)).
9. (10 points) Find (a,b) with so that ㆍThe point P = (1,a,b) is on the surface E defined byㆍThe tangent plane to E at P contains lines
10. (10 points) Evaluate,where and L is the path from A to B, to C to A and to D as shown below: Note: The path from B to C is circular.