所屬科目:研究所、轉學考(插大)-微積分
1. Find the average value of g(x) = |x| - 1 on [-1,3]. Answer:__________
2. Find(x) dx. Answer :_______
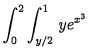
3. Evaluatedxdy. Answer :___________
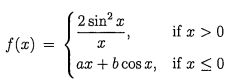
4. Find the values of a and b that makes the function differentiable at x = 0. Answer : _____________
5. Find the tangent line to the curve x2 cos2y - sin y = 0 at (0,π). Answer :__________
7. Evaluate . Answer :__________
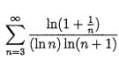
8. Find the sum of the series Answer:_________
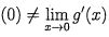
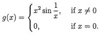
2. Use the limit definition to show that g'(0) exists butg', where
a.(6分)
b. (6分)