所屬科目:研究所、轉學考(插大)-微積分
(a)=_________
(b) =__________
(c)=________.
(d) If f (x) =(3), Ans:=_______.
(e) Find the absolute maximum value of f(x) =on the interval[0,3]. Ans:=_________.
(f) Find the length of the arc y = In (1-x2), 0≤x≤1/2. Ans:=________.
2. (10 pts) Find all the values of z for which the series converges.
3. (10 pts) Solve the differential equation
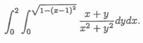
4. (12 pts) Evaluate the double integral
5. (12 pts) If 0 <I<π/2, prove that
(a) Prove that (x, y) exist at every point of R2.