所屬科目:研究所、轉學考(插大)-微積分
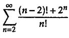
.__(1)__
.=___ (2)__.
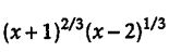
2. The graph of f(x) = has an inflection point at x =__ (3)__.
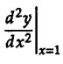
3. If x5+ y5 = 33,then =__(4)__.
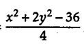
4. If x,then f(3)=__ (5)__.
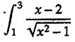
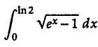
.=__(7)__ .(Hint: Useu=)
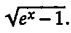
dx = __(8)__ .
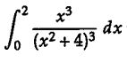
6. The integraldx converges if and only if a is in the interval__(9)__.
8. Suppose that y'+ y = 2cos x with y(0)= 2, then =__(11)__.
9. Let R be the region below the curve y = sin2 x when 0 ≤ x ≤π and V be the volume of the solid obtained by rotating R about the y-axis. Then V = __(12)__.
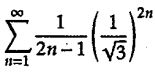
•=__(13)__.
•=___(14)__
12. The 3rd nonzero term of the Mclaurin series of the function , is __(16)__.
14. The shortest distance from the origin to the paraboloid z =is__(19)__.
15. yzcos(x3-1)dx dy dz= __(20)__.
16. The volume of the solid described by x2 + y2 ≤1 and x2+ y2+z2≤ 4 is __(21)__.
17. The area of the surface x2 +y2 +z2 =4,(x-1)2+y2≤1,is__(22)__.
18. Let = (siny, xcosy + cosz,-ysinz), C : =(sint,cost,2t),0≤t≤π.__ (23)__ .
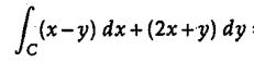
19. Let C be the curve consisting of line segments from (0,0) to (2,1) to (1,2) to (0,0).=__(24)__.
20. The flux of the vector field = (siny+x3,3yz2 +e,3zy2) through the surface x2+y2+z2 = 1, z ≥ 0, where the surface is equipped with the upward normal, is__(25)__.