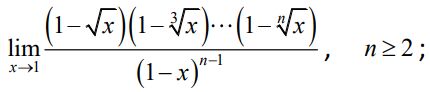
所屬科目:研究所、轉學考(插大)-微積分
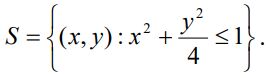
3. (10%)Find the global maximum and minimum values of x2+y2+2 on .
(a)
(b)
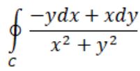
5. (15%)Evaluate the integral if C is a piecewise smooth simple closed curve oriented counterclockwise such that (a) C does not enclose the origin and (b)C encloses the origin.
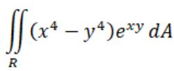
6. (15%)Use the transformationu=xy ,v=x2-y2 to find where R is the region in the first quadrant that is enclosed by the hyperbolas x2-y2=1,x2-y2=4 and the circles x2+y2=9 , x2+y2=16.