所屬科目:國營事業◆1.石油工程 2.油層工程
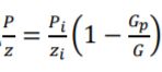
(一)說明由上述單相天然氣儲集層物質平衡方程式,推導出適用於體積耗竭型單相天然氣 儲集層(Volumetric Depletion Single Phase Gas Reservoir)方程式 的假設 條件有哪些?(4 分)
(二)假設一耗竭型單相天然氣儲集層經過多年生產後,石油公司要轉為地下儲氣窖 (Underground Gas Storage)使用,其歷史生產資料如下:(1)計算該天然氣層的原始天然氣埋藏量(Origional Gas in Place)(6 分) (2)計算當儲集層壓力下降至 300 psia 時的採收率(6 分) (3)說明利用 對作圖法,求水驅型(Water Drive)單相天然氣儲集層的原始天然氣埋 藏量(OGIP),會發生什麼結果及理由(4 分)