所屬科目:(工業)安全工程
一、有一作業員站立在均質的金屬梯頂端(如下圖),若其體重為梯子重量 的二倍,且梯子與牆面及地面的靜摩擦係數均為 μ 。在不發生意外的情 形下,請導出金屬梯與地面的最小夾角θ 與 μ 的關係式。當 μ = 0.7 時, 求出金屬梯與地面夾角的安全範圍。(提示:畫出自由體圖,假設梯子 重量為 W,金屬梯靠牆端為 A 點,靠地端為 B 點,梯長為 L;寫出摩擦 力方程式、平衡方程式)(25 分)
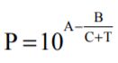
三、純甲醇的閃火點是 12 ℃,其飽和蒸汽壓可由下列之 Antoine 方程式估算。 今有 75%甲醇水溶液,試求其閃火點。(25 分)Antoine 方程式 其中 P in mmHg;T in ℃; A = 8.08097, B = 1582.27, C = 239.7。