所屬科目:交通控制
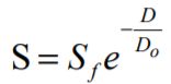
一、假設車流的密度(D)與速度(S)呈現出非線性的關係,若其關係如下:,其中 Sf =自由流速率,Do =最佳密度(在流量接近最大流量 Do 時)。在極端的條件下,若密度接近零的時候,車速接近自由流速度。 ⑴請自訂變數詳述流量(V)與速度的函數關係?(10 分)⑵並利用此 模式推出容量的公式為何?(15 分)