所屬科目:輻射防護員◆游離輻射防護專業
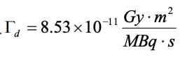
3. 一顆活度為 1 Ci 的 60Co 射源操作時不慎掉出其屏蔽容器,操作員在離射源 10 公尺處查 看 15 秒,請問該操作員在查看期間全身均勻曝露之有效劑量為何? ( 60Co 比加馬劑量常數,加馬加權因子 WR=1)
6. 有一 2 MBq 的 42K (半化期為 12.4 h) 射源經過 6.2 h 蛻變,請利用 42K 蛻變圖計算: (A)在此期間會有多少個 - 發射? (B)釋放的所有 射線總能量為多少 MeV?