所屬科目:輻射防護員◆游離輻射防護專業
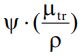
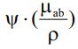
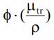
9. 已知:Φ 表示光子通量(fluence),表示光子能通量(energy fluence),μ/ρ =質量衰減係 數、 =質量轉移係數、 = 質量吸收係數。請問吸收劑量等於? (A) (B) (C) (D)
10. 某放射性核種的衰變常數( λ )值為 0.693 ,經過 6 年後,其放射性活度變為原來的 多少? (A) 1/8 (B) 1/16 (C) 1/32 (D) 1/64
二、計算問答題:(每題 10 分,共 70 分) 1. 假設光子的通量為 ,能量為 662 keV,μ/ρ = 0.1614 m2 /g, =0.0984 cm 2 /g, = 0.0951 cm 2 /g,試問克馬為多少戈雷?
(1)該光子於鉛板中之衰減係數為多少?
7. 一般會使用鉛材料(密度 11.35 g/cm 3)進行 X 光機的輻射防護,請問鉛對 70 keV 光子的 半值層(HVL)與什一值層(TVL)各為多少 cm? (70 keV 光子的質量衰減係數為 2.8 )