所屬科目:資料分析
12. 設 X 為一離散隨機變數,其機率質量函數如下表,令 F(x)=P(X ≤ x),選出下列錯誤 之敘述:(A)F(0)=0(B)F(1)=0.2(C)F(3)=0.75(D)F(6)=0
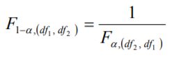
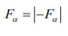
13. 下列有關 F 分配的敘述是正確的? (A)當分子與分母自由度小於 30 時,F 分配是對稱分配(B)(C)(D) − ∞ < F < ∞
14. 因子 A 及因子 B 的變異數分析表如下,則 B 效果的 F 檢定統計量分子及分母的自 由度分別為:(A)2 及 6(B)3 及 6(C)2 及 24(D)3 及 24
28. 欲確認一個四面骰子是否為一公正之骰子(α=0.05),投擲此骰子 80 次,得以下結 果。請問如下選項何者正確?(A)卡方檢定值為 60,拒絕此為一公正之骰子(B)卡方檢定值為 140,認為此為一不公正之骰子(C)F 檢定值為 1.849 認為此為一公正之骰子(D)F 檢定值為 7.398 認為此為一不公正之骰子
29. Y 為月手機通話費,解釋變數為年齡(X1)、職業(藍領、白領、學生)(令 X2=1 為藍領;X2=0 為其他職業;X3=1 為學生;X3=0 為其他職業)、性別(X4=1表示女性;X4=0 表示男性)、薪資(X5)。迴歸模式 Y=β0+β1X1+β2X2+β3X3+β4X4+β5X5+ε,分析結果如下:在固定其他解釋變數下,α=0.05,下列何者為是?(A)女性平均月手機費較男性高 0.16(B)女性平均月手機費較男性高 2.67(C)男性平均月手機費較女性高 0.16(D)男性平均月手機費較女性高 2.67