所屬科目: iPAS◆資料導向程式設計◆初級
2. 參考附圖,關於 Python 語言對於 requests 套件讀取 HTML 網頁資料, 下列敘述何者「不正確」?(A) r.encoding 可以設定 HTML 資料的編碼 (B) r.value 的結果會顯示資料讀取內容 (C) r.status_code 的結果會顯示資料讀取的狀態碼 (D) <Response [200]>的結果表示 HTML 資料讀取正常
3. 在 Python 資料處理中,使用 sorted(),執行附圖程式後,下列何者為輸出結果?(A) [9, 7, 5, 3, 2, 1] (B) [1, 2, 3, 5, 7, 9] (C) [1, 3, 5, 7, 9, 2] (D) [4, 3, 2, 1, 5, 0]
4. 參考附圖,關於 Python 語言對於 numpy 套件,下列敘述何者為正確? (A) a.shape 的結果為(3, 3) (B) a.ndim 的結果為 1 (C) a[0, 2]的結果為 999 (D) c[1, 0]的結果為 2
7. 關於 Python 之資料結構字典(dictionary)與例外處理(exception), 執行附圖程式後,下列何者為輸出結果?(A) KeyError: 'H' (B) TypeError: list indices must be integers, not str (C) SyntaxError: invalid syntax (D) TypeError: unsupported operand type(s) for +: 'int' and 'str'
24. 執行下方程式後,下列何者為輸出結果?(A) b: 30 b: 50 (B) b: 50 b: 30 (C) b: 30 b: 30 (D) b: 50 b: 50
30. 在 Python 3 中,根據下列程式碼,下列敘述何者正確?(A) mylist 的值變成[1,2,3,[4,5,6]] (B) mylist+=[4,5,6]此行創建新物件存放[1,2,3,4,5,6]到 mylist 中 (C) mytuple 的值變成(1, 2, 3, 4, 5, 6) (D) mytuple+=(4,5,6)此行出現錯誤訊息
35. Python 語言中,執行下方程式後,輸出結果為下列何者? (A) 程式出現錯誤訊息 (B) 3 (C) 6 (D) 9
38. R 語言中,執行下方程式後,下列何者為 y 值的輸出結果?(A) 8 (B) 12 (C) 16 (D) 20
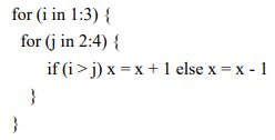
41. 當 x 為 0 時,執行下列 R 語言程式後,x 值為何? (A) -9 (B) -7 (C) 7 (D) 9
49. 參考附圖 R 語言對於正規表示式(regular expression),下列敘述何者正確?(A) grep(pattern = "data", x = mydata),執行結果為 1 (B) grep(pattern = "data", x = mydata, value = TRUE),執行結果為 "BigData" (C) grepl(pattern = "Data", x = mydata),執行結果為 TRUE TRUE TRUE (D) grepl(pattern = "Data$", x = mydata),執行結果為 TRUE FALSE FALSE
50. 執行附圖程式碼後,下列何者為輸出結果?(A)(B) (C) (D)