所屬科目: iPAS◆資料導向程式設計◆初級
1. Python 語言中,附圖程式碼輸入「6」並執行後,輸出結果為下列何者? (A) 可正常輸出,結果為 18 (B) 可正常輸出,結果為 666 (C) 不可輸出,因為資料型態不對 (D) 不可輸出,因為運算式有誤
2. Python 語言中,x 為 Pandas 的 DataFrame 物件(如附圖),請問下列何者為 type(x['name'])的回傳值?
(A) pandas.core.series.Series (B) numpy.ndarray (C) str (D) pandas.core.frame.DataFrame
3. 請問執行附圖程式碼後,下列何者為輸出結果?(A) 為字串(string)型態"155" (B) 為整數(int)型態 155 (C) 為字串(string)型態"8075" (D) TypeError
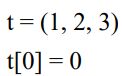
4. 請問執行附圖程式碼後,下列敘述何者「不」正確?
(A) t 之現值為(1, 2, 3) (B) t 之現值為(0, 2, 3) (C) t 之型態(type)為 tuple (D) 會產生 TypeError
8. 參考附圖之網路通用資料格式(Network Common Data Form, NetCDF) 與 R 語言的 ncdf4 套件,下列敘述何者「不」正確? (A) NetCDF 是一種自我描述、跨平台與基於陣列的科學資料格式 (B) NetCDF 已經有支援 HDF5 資料格式(Hierarchical Data Format, HDF) (C) ncdf4 套件定義 NetCDF 變數的方法為 nc_open (D) ncnew 資料物件的檔案名稱為「TaiwanCity_population.nc」
10. 附圖資料表 Data,請問下列何者無法同時取得 Celine、Shawn 的資料? (A) SELECT * FROM Data WHERE Sales <= 300 (B) SELECT * FROM Data WHERE Age < 20 OR Age >38 (C) SELECT * FROM Data WHERE Name == 'Celine' OR Name == 'Shawn' (D) SELECT * FROM Data WHERE CityName IN ('Tainan', 'NewTaipei')
12. 請問附圖資料表已達到哪一個正規化階段?
(A) 未正規化 (B) 第一正規化 (C) 第二正規化 (D) 第三正規化
14. 附圖資料表為 productTable。請問對其執行 SELECT COUNT(productName) FROM productTable WHERE price>18; 語句後,得到之 COUNT(productName)結果為何? (A) 1 (B) 2 (C) 3 (D) 4
25. 請問附圖資料為何種格式?
(A) CSV (B) XLS (C) XML (D) JSON
27. 參考附圖程式碼,請問註解處應填入選項中何者程式敘述方能使最後 print(s)印出'john'?
(A) d[x] = y (B) d[y] = x (C) d[a] = b (D) d[b] = a
28. Python 語言中,執行附圖程式碼後,下列何者為輸出結果? (A) (B) A B C (C) (D) A BB CCC
29. Python 語言中,執行附圖程式碼後,x 為下列何者?
(A)(B) (C) [4 2 4 2] (D) [8 4]
30. Python 語言中,執行附圖程式碼後,下列選項中之程式碼何者無法返 回值'mary'? (A) Mary._student_name (B) Mary.get_name() (C) Mary._get_name() (D) Mary.__get_name()
31. 在 Python 3 環境中,根據附圖程式碼,slicelist 的內容為何? (A) 5 (B) [1,2,3,4,5] (C) 空串列 (D) 程式異常,slicelist 不存在
32. 在 Python 3 環境中,根據附圖程式碼,a、b、c、d 何者與 t 是同一個物件?(A) a (B) b (C) c (D) d
34. 附圖 Python 語言的自訂函數結果為何?(A) None (B) <class 'tuple'> (C) <class 'list'> (D) <class 'dict'>
35. Python 語言中,執行附圖程式碼後,下列何者為輸出結果?(A) (B) (C)(D)
36. 如附圖所示,假設 R 語言有一個自訂函數,執行 A(5)後回傳的值為何?(A) 1 (B) 3 (C) 5 (D) 11
37. Python 語言中,執行附圖程式碼後,下列何者為輸出結果?
(A) 1 (B) 3 (C) 5 (D) 7
38. Python 語言中,執行附圖程式碼後,下列何者為輸出結果? (A) 10 (B) abc (C) 20 (D) 執行錯誤
39. Python 語言中,執行附圖程式碼後,下列何者「不」會出現於執行結果? (A) user_name: Ken (B) key arg: height value 44 (C) key arg: arg value 44 (D) key arg: weight value 55
46. 如附圖所示,小明想實作一個文字辨識系統,目標如下:(1)文字偵測 →(2)字元切割 →(3)字元辨識。完成後,小明發現系統總是無法正確辨識,請問應從何處開始除錯?(A) 文字偵測 (B) 字元切割 (C) 字元辨識 (D) 都可以