所屬科目:四技二專統測◆數學A
2. 由 5 位三年級、4 位二年級、3 位一年級的學生組成一糾察隊。今欲從此隊的學生中任選 一位當隊長,若每位學生被選到的機會均等,則隊長為二年級學生的機率為何? (A) (B) (C) (D)
3. 設f(x)=3x3-7x2+4x-6=a+b(x-2)+c(x-2)2+d(x-2)3,則a-b-c-d=? (A) -28 (B) -26 (C) -22 (D) -18
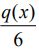
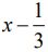
4. 設f(x)為一多項式。若f(x)除以的商式為q(x),餘式為r,則f(x)除以6x-2的商式與餘式分別為何? (A) 商式為q(x),餘式為r (B) 商式為,餘式為r(C) 商式為,餘式為6r (D) 商式為6q(x),餘式為6r
6. 設f(x)=2x3+x2-7x-6,則下列何者不為f(x)的因式? (A)x +1 (B)x - 2 (C)2x +3 (D)2x -1
7. 某校舉辦新生盃網球個人賽,比賽採單淘汰制,也就是比賽一場輸的就淘汰,勝的晉級 到下一輪比賽。若有 32 位新生參加比賽,則共要舉辦多少場比賽,才會產生冠軍? (A) 31 (B) 32 (C)(D)32✕31
10. 表(一)是某年某月的月曆,若在其中框選任一個有九個數的大方格 (如表(一)中的粗黑框),則下列何者不正確? (A)a1 , a2 ,…, a9成等差數列 (B)a4是a1和a7的等差中項 (C)a1+a2+...+a9=9a5 (D)a1+a5+a9=a3+a5+a7
12. 設m1為過兩點的直線斜率,m2為直線x-3y=4的斜率,m3為直線y = 3的斜率,則m1、m2、m3的大小為何? (A)m1>m2>m3 (B)m2>m3>m1 (C)m3>m2>m1 (D)m1> m3>m2
14. 已知ABC中,,且,則△ABC外接圓的半徑為何? (A) 4 (B) 5 (C) 8 (D) 10
15. 設與兩向量的夾角為60°,且 , 則=? (A) 9 (B) 12 (C) 15 (D) 18
16. 設△ABC中,A點的坐標為(-2, 7 ) ,且B 、C兩點均在直線3x-4y=6上。若△ABC的面積為 16,則的長度為何? (A) 2 (B) 3 (C) 4 (D) 8
17. 設A( 5, 2 )與B(-1,-6 )為平面上兩點。若為圓C的直徑,則圓C的方程式為何? (A)(x+2)2+(y-2)2=100(B)(x+2)2+(y-2)2=25 (C)(x-2)2+(y+2)2=100 (D)(x-2)2+(y+2)2=25
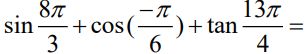
18.? (A) (B) (C) (D)
19. 將火車站與甲、乙、丙三家標示於坐標平面上,設火車站與甲、乙兩家的坐標分別為( 0, 0 ) 、 (-2,-5 )、( 4, 7 ),且甲、乙、丙三家共線。若丙家介於甲、乙兩家之間, 且丙家到甲家距離為丙家到乙家距離的兩倍,則丙家到火車站的距離為何? (A) (B) (C) (D)
20. 某超商舉辦買飲料電腦抽獎活動,獎項分別有任 2 瓶 1 元、任 2 瓶 49 折、任 2 瓶 59 折 、任 2 瓶 69 折、任 2 瓶 79 折、任 2 瓶 89 折。由於大家都不知道各獎項的中獎比例, 因此某人號召參加抽獎的網友告知抽到的獎項。統計 100 次抽獎的結果如圖(一)。事後又 再統計另外 50 次抽獎的次數分配表如表(二),則此 150 次抽獎的統計結果,任 2 瓶 79 折 的百分比為多少? (A) 36% (B) 48% (C) 60% (D) 64%
21. 設直線y=k 與兩指數函數y=2x+3、y =2x的圖形分別交於A 、 B兩點。若= 4 ,則k =? (A) (B) 3 (C) (D)
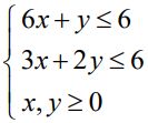
22. 設(a ,b ) 為聯立不等式的解,則5a+ 2b 的最大值為何? (A) (B) (C) (D)
23. 設x為任意實數,則f(x)=-2sin2x-sinx+2的最大值為何? (A)1 (B) (C) (D) 5
25. 滿足不等式3≦ | 2x-1 | ≦12的整數解個數為何? (A) 4 (B) 5 (C) 8 (D) 10