阿摩線上測驗
登入
首頁
>
四技二專統測◆數學A
>
109年 - 109 四技二專統測_共同科目:數學(A)#85162
> 試題詳解
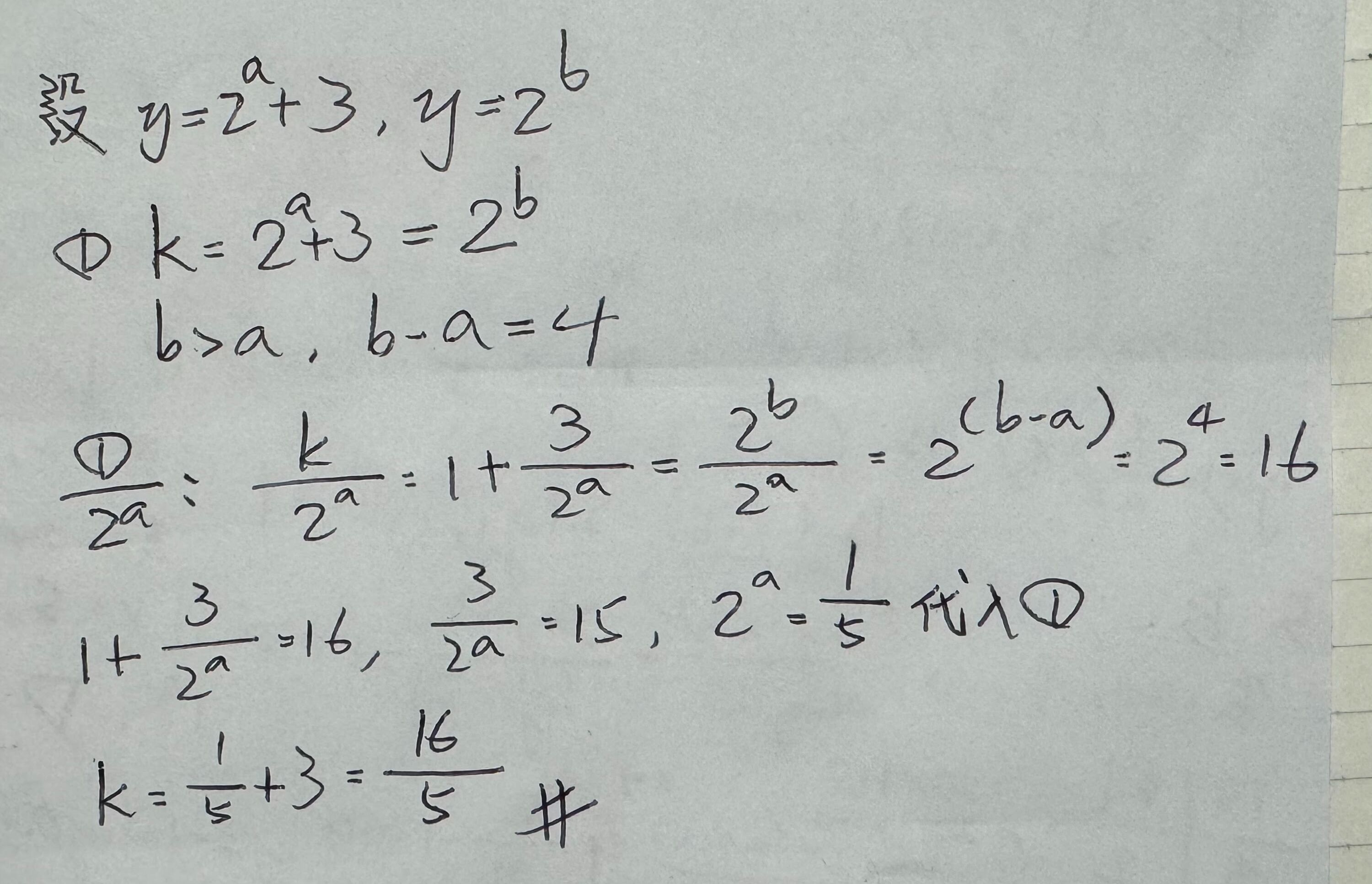
21. 設直線y=k 與兩指數函數y=2
x
+3、y =2
x
的圖形分別交於A 、 B兩點。若
= 4 ,則k =?
(A)
(B) 3
(C)
(D)
答案:
登入後查看
統計:
A(21), B(33), C(74), D(15), E(0) #2283339
詳解 (共 2 筆)
蔡宗儒
B1 · 2020/09/01
#4248436
設A點 ( x1 , 2x1+3 ) ...
(共 246 字,隱藏中)
前往觀看
1
0
Joyce(上榜嘉藥)
B2 · 2024/04/15
#6068094
1
0
相關試題
1. 若在 1 和 2 之間插入二個數,使其成等比數列,則這二個數的乘積為何? (A) 1 (B) 2 (C) 4 (D) 8
#2283319
2. 由 5 位三年級、4 位二年級、3 位一年級的學生組成一糾察隊。今欲從此隊的學生中任選 一位當隊長,若每位學生被選到的機會均等,則隊長為二年級學生的機率為何? (A) (B) (C) (D)
#2283320
3. 設f(x)=3x3-7x2+4x-6=a+b(x-2)+c(x-2)2+d(x-2)3,則a-b-c-d=? (A) -28 (B) -26 (C) -22 (D) -18
#2283321
4. 設f(x)為一多項式。若f(x)除以的商式為q(x),餘式為r,則f(x)除以6x-2的商式與餘式分別為何? (A) 商式為q(x),餘式為r (B) 商式為,餘式為r(C) 商式為,餘式為6r (D) 商式為6q(x),餘式為6r
#2283322
5. 某班有 30 位學生,其中 20 位男生、10 位女生。今任選二位擔任班長和副班長,若規定其中一位是男生,另一位是女生,則共有幾種選法? (A) 200 (B) 400 (C) 435 (D) 870
#2283323
6. 設f(x)=2x3+x2-7x-6,則下列何者不為f(x)的因式? (A)x +1 (B)x - 2 (C)2x +3 (D)2x -1
#2283324
7. 某校舉辦新生盃網球個人賽,比賽採單淘汰制,也就是比賽一場輸的就淘汰,勝的晉級 到下一輪比賽。若有 32 位新生參加比賽,則共要舉辦多少場比賽,才會產生冠軍? (A) 31 (B) 32 (C)(D)32✕31
#2283325
8. 設不等式ax2+2x+b>0的解為-1< x <2,則下列何者是以a ,b為兩根的方程式? (A)x2+2x-8=0 (B)x2-2x-8=0 (C)x2+3x-15=0 (D)x2-6x+8=0
#2283326
9. 某次模擬考有 10000 人參加,若小明的百分等級是 95,則小明的排名會在下列哪個 區間? (A) [ 401 , 500 ] (B) [ 501 , 600 ] (C) [ 9401 , 9500 ] (D) [ 9501 , 9600 ]
#2283327
10. 表(一)是某年某月的月曆,若在其中框選任一個有九個數的大方格 (如表(一)中的粗黑框),則下列何者不正確? (A)a1 , a2 ,…, a9成等差數列 (B)a4是a1和a7的等差中項 (C)a1+a2+...+a9=9a5 (D)a1+a5+a9=a3+a5+a7
#2283328
相關試卷
113年 - 113 四技二專統測_共同科目:數學(A)#121707
2024 年 · #121707
112年 - 112 四技二專統測_共同科目:數學(A)#117802
2023 年 · #117802
111年 - 111 身心障礙學生升學大專校院甄試試題_四技二專組_共同科目:數學(A)#118921
2022 年 · #118921
111年 - 111 四技二專統測_共同科目:數學(A)#107788
2022 年 · #107788
109年 - 109 四技二專統測_共同科目:數學(A)#85162
2020 年 · #85162
108年 - 108 四技二專統測_共同科目:數學(A)#76525
2019 年 · #76525
107年 - 107 四技二專統測_共同科目:數學(A)#73258
2018 年 · #73258
106年 - 106 四技二專統測_共同科目:數學(A)#61707
2017 年 · #61707
106年 - 106 四技二專統測_共同科目:數學(A) 1-14 (重複)#61706
2017 年 · #61706
105年 - 105 四技二專統測_共同科目:數學(A)#75885
2016 年 · #75885