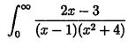
所屬科目:研究所、轉學考(插大)-微積分
(b) =__(2)__,where a, b are constants and ab ≠ 0.
(c)=___(3)____.
(b) x3 -y2+y3 =x. At (x, y) = (0, 1).=__(5)__
(c) f(x,y,z)==__(6)__.
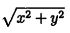
f(x,y)=
for (x,y)≠(0,0) and f(0,0) = 0. The directional derivative of f
along u = (cosθ,sinθ) at (0,0) is__(7)__.
(b) The local minimum values of g(x) occur at x =__(9)__
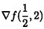
(a)=____ (12)____.
(b)=__(13)__.
(c) =__(14)__.
(a) dA = __(15)__ , where D is the region in the first quedrant that lies betwoen the circles x2 + y2 = 4and (x-1)2+y2=1.
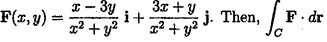
(a) C is a smooth curve in the upper half plane going from (1,1) to . =__(17)__.
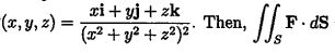
(b) S is the part of the spherex2 + y2 + z2 = 9 that lies above the cone z = with upward orientation. F = __(18)__.
(a)=__ (19)__.
(b) The Maclaurin series (the 'Taylor series at a = 0) for x is__(20)__.
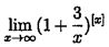
(e) Find.
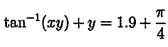
(b) Assume that on another curve , f obtains local naximumn at (Jc0,yo) which is near
. Use linear epproimation to estimate