阿摩線上測驗
登入
首頁
>
研究所、轉學考(插大)-微積分
>
109年 - 109 國立臺灣大學轉學生招生考試試題_理工科聯招:微積分(B)#110852
> 申論題
申論題
試卷:109年 - 109 國立臺灣大學轉學生招生考試試題_理工科聯招:微積分(B)#110852
科目:研究所、轉學考(插大)-微積分
年份:109年
排序:0
申論題資訊
試卷:
109年 - 109 國立臺灣大學轉學生招生考試試題_理工科聯招:微積分(B)#110852
科目:
研究所、轉學考(插大)-微積分
年份:
109年
排序:
0
題組內容
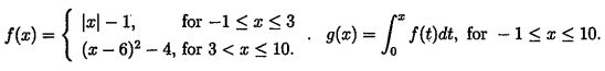
3.
申論題內容
(c) The t-coordinates of points of inflection for y = g(x) are __(10)__.