所屬科目:研究所、轉學考(插大)◆線性代數
(b) If A is similar to B, then A and B have the same characteristic polynomial.
(c) If A3 +3A2+3A+ 1 = 0, then A is invertible.
(d) If A is symmetric, then all eigenvalues of A are real.
(a). Show that is a subspace of V.
b. Find , where and
.
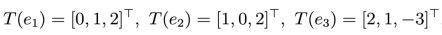
3 be a linear transformation and
,
where [e1, e2,e3] is the standard ordered basis for . Let
be an ordered basis for R3. Find .
a. Find an invertible matrix Q such that AQ is a diagonal matrix.
b. Describe the set W = {p(x)|p(xc) is a polynomial and p(A) = 0}.
5 Let A with rank(A) = m. Show that A is invertible.
Jordan canonical forms of A?