所屬科目:研究所、轉學考(插大)◆統計學
1. 設一隨機變數 來自於二項分佈, 亦即有分佈。試求。
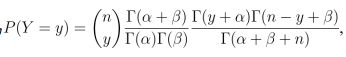
(a) 試證之非條件分佈為 , μ=0
.1,...,n。
(a) 試證為λ的完備充分統計量。
(c) 試求之最大概似估計值(Maximum Likelihood Estimator, MLE)。
(d) 試給一 α下之 的概似比檢定(Likelihood Ratio Test, LRT)。
4. 假設某廠牌燈管壽命的機率密度函數為 , 且其期望值為 10,000 小時。某公司近期安裝 50 支該廠牌的燈管, 試求至少有一燈管 30,000 小時後仍可使用之機率。
5. 設為一組來自參數為 的波松分佈所產生之隨機變數, 。試給出之兩種動差估計量。
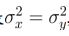
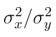
(a) 設 , 試給α一 下之檢定。
(b) 試給出一 的(1-α)信賴區間。