所屬科目:土壤力學及土壤動力【含地震工程】
一、某一夯實土壤之顆粒比重 Gs = 2.68,濕單位重 γ=18kN/m3 ,含水量 w =10%。試求其乾單位重 ,孔隙比e,孔隙率n,與飽和度S。若該 土壤進行室內標準夯實試驗,得到最大乾單位重=19.3kN/m2,目前此土壤之相對夯實度 R(%)為何?請嘗試說明一般高速公路路堤土 壤之夯實度的要求標準。(20 分)
二、某擋土開挖工地之地下水現狀如下圖所示,試以臨界水力坡降的觀念,推導抗砂湧安全係數之公式,並計算該工地目前之抗砂湧安全係數。(20 分)
三、某一土壤力學實驗室取得正常壓密黏土的兩個不擾動土樣,進行三軸飽和試體之壓密排水(Consolidated Undrained)試驗,達到破壞時之試驗結果如下:請以莫爾庫倫破壞準則求取土壤剪力強度參數。(20 分)
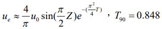
四、如下圖之地層剖面,黏土層上、下邊界為自由排水,黏土層之壓密係數=0.6 m2/yr,在地表面填土施加 60 kN/m2之超載。試畫圖表示填土前之水壓隨深度的分佈,填土後即時之水壓隨深度的分佈,與填土後 6 年 之水壓隨深度的分佈;多少年後黏土層之平均壓密度會達到 90%。 (註: )(20 分)
五、某大樓基地鑽探與震測試驗剪力波速剖面如下圖所示。試計算該基地地表下 30 m 深度之平均剪力波速 Vs30,並依據現行耐震設計規範進行耐震地盤分類,求其短週期結構物之工址放大係數 Fa 的範圍,並估計該地盤之卓越週期 Tp(sec)。(20 分)