所屬科目:土壤力學及土壤動力【含地震工程】
(一)常用土壤剪力破壞準則包括 Coulomb(1776)提出之莫爾庫倫破壞準 則及 Lambe(1964)之應力路徑,莫爾庫倫破壞準則其有效應力破壞 包絡線為:τ f = c ' + σ ' tan Φ ',其中有效凝聚力( c ' )及有效摩擦角( Φ ' ) 為強度參數,應力路徑法則以有效破壞應力比線(Kf--line)表示: q = m+ p ' tan α ,強度參數截距(m)及斜率( tan α ),試以一破壞狀 態莫爾圓畫圖,推導如何由 (m,α ) 決定 (c ',Φ') 。
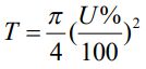
(二)現場加載後經 120 天其壓密沉陷量為 16.5 cm,若現地以排水砂樁加速其壓密過程,目標為最遲於 128 天後完成 90%平均壓密度,試計算排水砂樁之最大間距 。( 參考公式 : for U ≤ 60% , ), T90 =0.848 )。