所屬科目:國營事業◆1.化工熱力學 2.化學反應工程學
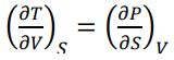
4. 有關麥斯威爾(Maxwell)關係式,下列何者有誤? (A) (B) (C) (D)
6. 1 公克0 ℃的冰與10 公克100 ℃的水混合,請問熵變化量(∆s)為多少?(已知水的凝固熱為 80 ,水的) (A) -0.515 (B) 0.293 (C) 0.515 (D) 0.58
8. PCI5 的分解反應是,在 473 °K達到平衡時,PCI5 (g)有 48.5 %分 解,在 573 °KK達到平衡時,有 97 %分解。前述反應下列何者正確? (A)放熱反應 (B)吸熱反應 (C)既不放熱也不吸熱 (D)這兩個溫度下的平衡常數相等
9. 下列各系統敘述,何者自由度(degree of freedom)不為0? (A)壓力為20 kkkk/ccmm2 的丙烯液體經減壓閥減壓為4 kg/cm2氣液兩相的丙烯,且兩相平衡 (B)碳酸鈣受熱分解的反應系統: (C)NaCI(s)與NaCI飽和水溶液在25 ℃及 1 atm下達平衡 (D)純水在其三相點時
10. 5莫耳雙原子理想氣體在等壓可逆下,由 -23 ℃加熱至 227 ℃,其焓之變化量(ΔH)為多少焦耳 ?? ?(?? = 8.314 ) (A) 15589 (B) 15981 (C) 36374 (D) 46766
15. 卡諾循環: (Ⅰ)A → B:等溫可逆膨脹(在高溫T2 ) (Ⅱ)B → C:絕熱可逆膨脹(到低溫T1 ) (Ⅲ)C → D:等溫可逆壓縮 (Ⅳ)D → A:絕熱可逆壓縮 請問下列座標圖形何者有誤?(E:內能、S:熵、T:溫度、P:壓力、V:體積) (A) (B) (C) (D)
18. 有3項化學反應式如下,請問K3 為何? (Ⅰ) O2 + 2NO ⇌ 2NO2,平衡常數K1 (Ⅱ) 4NO + 2CI2 ⇌ 4NOCI,平衡常數K2 (Ⅲ) ,平衡常數K3 (A) (B) (C) (D)
20. 由吉勞吉斯-克拉泊壤(Clausius-Clapeyron)式,以液體的蒸氣壓取對數為縱軸,絕對溫度的倒 1 數為橫軸,作圖( )得一直線,直線斜率代表意義為下列何者? (A)凝固熱 (B)汽化熱 (C)昇華熱 (D)燃燒熱
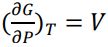
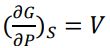
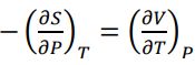
22. 下列何者正確? (A) (B) (C) (D)
23. 水與冰的比容在0 ℃時分別是1.0001 及1.0907,0 ℃冰的熔解熱是79.8 ,如外壓增 加1 atm時,則熔點變化為何? (A)升高0.0150 ℃ (B)下降0.0150 ℃ (C)升高0.0075 ℃ (D)下降0.0075 ℃
32. 2A(g) → B(g) 為2級反應,速率方程式表示為:,則K與KA 的關係為何? (A)KA = K (B) KA = 2K (C) KA = 2K ⁄RT (D) KA = K ⁄RT
39. N2 在300 ℃及0~60 atm時,其焦耳-湯木生係數為μJT= 0.0142 − 0.00026 P,請問N2 在300 ℃ 時由60 atm膨脹至20 atm,其溫度下降量為何? (A) 0.152 ℃ (B) 1.152 ℃ (C) 2.252 ℃ (D) 3.252 ℃
40. 在25 ℃時,下列反應 I2(g) + Br2(g) → IBr(g) 之平衡常數Kp = 20.5,Hrxn ° (標準狀態下之反應焓) = -1.26 kcal/mole,請問100 ℃之Kp值為何? (A) 13.4 (B) 14.4 (C) 15.4 (D) 20.5
47. 定溫、定容下某一反應的反應機構為: =? (A) K1 [A][B] (B) K3 [C] (C) K1 [A][B] − K3 [C] (D) K1 [A][B] − K−1 [C] − K3 [C]
48. 已知平行反應: ,某溫度時K1 = 3.74 s −1, K2 = 4.65 s −1 ,請問總反應速率常 數K為何? (A) 1.21 s −1 (B) 1.24 s −1 (C) 6.39 s −1 (D) 8.39 s −1
49. 有一個可逆的2級反應: 其平衡常數K的表示式,下列何者正確? (A) (B) (C) (D)