所屬科目:國營事業◆1.化工熱力學 2.化學反應工程學
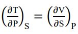
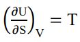
8. 下列關係式何者有誤? (A)(B) (C) (D)
24. 能進行卡諾循環的裝置稱為卡諾熱機,該裝置之工作流體在高溫TH端吸熱QH,在低溫TC端放熱QC,請問下列何者有誤? (A)卡諾熱機效率為 (B)卡諾熱機效率為(C)在高溫TH的可逆等溫過程會對外界放熱 (D)卡諾循環在絕熱壓縮過程,系統的ΔS等於零
30. 有一氣體反應 A(g) +B(g) → C(g),反應速率= k CA.CB,k為反應速率常數,CA和CB分別為反應物A和B之濃度,當時,其反應速率為 R。若時,請問其反應速率為何? (A)(B) (C) (D)
34. 四氧化氮分解成二氧化氮為可逆氣相反應,反應式,假設此反應在恆溫恆壓下於定容批式反應器中進行,進料為純N2O4 (溫度340 K、壓力 2 atm)。請問反應物N2O4的初始濃度為多少 mol/Liter? (A) 0.0024 (B) 0.0717 (C) 0.096 (D) 0.12
38. 假設一氧化碳之氧化反應是基本反應,其反應式:2 CO(g) + O2(g) → 2 CO2(g)。若在定溫下,將反應的混合氣體體積壓縮至原來體積的時,請問反應速率為未壓縮前的多少倍? (A) 9 (B) 18 (C) 27 (D) 81
41. 有一平行反應:,反應速率方程式 rB = k1 CA2 ,,反應速率方 程式 rC = k2 CA2 ,。若希望提高產物B的產率,請問下列何者正確? (A)提高進料中反應物A的濃度 (B)在進料中添加惰性物質(inert) (C)使用觸媒降低產物C的活化能 (D)提高操作溫度或使用觸媒降低產物B的活化能
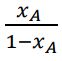
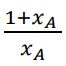
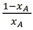
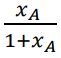
48. 有座工廠採用連續攪拌槽式反應器(CSTR)進行生產,該反應 A → B為一級反應,xA 是反應物 A的莫耳分率。假設進料體積流速為定值,請問該反應器的滯留時間(space time)τ與下列何者成正比? (A) (B) (C) (D)
50. 有關阿瑞尼斯方程式(Arrhenius equation) 。k:反應速率常數;A:阿瑞尼斯常數; Ea:反應活化能;R:理想氣體常數;T:反應溫度。下列何者正確? (A)阿瑞尼斯常數與反應物濃度有關 (B)在溫度變化範圍不大時,活化能被視為常數 (C)阿瑞尼斯常數與反應溫度有關(D)反應速率常數受反應時間影響