所屬科目:材料熱力學
一、假設凡得瓦氣體(van der Waals gas)的每莫耳分子顆粒體積為b、分子間 的交互作用力為 (其單位同壓力P之單位),V為氣體的莫耳體積,請 寫出凡得瓦方程式,並推導該氣體的臨界溫度以及臨界壓力為a與b的函 數。(20分)
二、對某二元A-B溶液,其過剩莫耳自由能(molar excess Gibbs free energy of solution)為:請計算在70 mol% A-30 mol% B合金中,1000 K溫度下的 a A 與 a B。(20分)
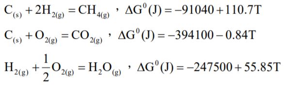
四、1莫耳的CH4與2莫耳的O2在1200 K下進行反應生成H2O與CO2,若氣體之總壓力為1 atm,試計算最終CH4、O2、H2O與CO2的分壓各為多少?(20分)