所屬科目:輻射防護員◆游離輻射防護專業
4. 60Co 的加馬射線常數(gamma ray constant, Γ)為 307 m2 µGy GBq-1 h-1,請問距離 1 Ci 的 60Co 1 公尺處的曝露率為何? (A) 1.14 mGy/h (B) 11.4 mGy/h (C) 0.28 mGy/h (D) 2.8 mGy/h
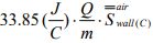
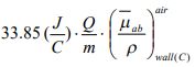
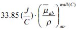
9. 有一腔壁為碳之游離腔,其內含有一體積為 0.6 cm3 之空氣腔(腔內氣體質量為 m 克), 將此游離腔曝露在鈷-60 所發射的加馬射線裡,產生 Q 庫侖之電荷,則此游離腔腔壁的 吸收劑量為? (A) (B) (C) (D)
11. 原子經過α及β -衰變後變成原子,請問其中發生了幾次β -衰變? (A) 2 (B) 3 (C) 4 (D) 5