所屬科目:研究所、轉學考(插大)◆訊號與系統
(b) (6%) Find the time-domain signal corresponding to the following Fourier representation
(c) (6%) Use Parseval's theorem to evaluate the following quantities:
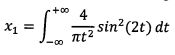
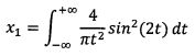
(1)
(2)
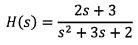
8. (6%) Find the locations of poles and zeros and discuss the causality and stability of the following s-domain transfer function.
9. (6%) Find the locations of poles and zeros and discuss the causality and stability of the following z-domain transfer function.
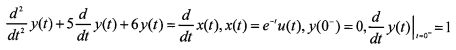
10.(8%) Find the impulse response (i.e., h(t)) and the transfer function (i.e., H(s)) of the following CT LTI system. The input signal is a(t) and the output signal is y(t).
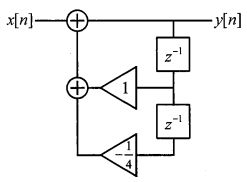
11.(8%) Find the impulse response (i.e., h[n]) and the transfer function (i.e., H(z)) of the following CT LTI system. The input signal is xโn)] and the output signal is yin].