題組內容
5.(12%)
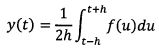
Let f(t) be a periodic signal of period "1"and define the moving-average operator depending
on a parameter h > 0 by
5.(12%)
Let f(t) be a periodic signal of period "1"and define the moving-average operator depending
on a parameter h > 0 by