阿摩線上測驗
登入
首頁
>
電路學
> 110年 - 110 中央印製廠_新進人員甄試_電機工程員:電路學#105215
110年 - 110 中央印製廠_新進人員甄試_電機工程員:電路學#105215
科目:
電路學 |
年份:
110年 |
選擇題數:
0 |
申論題數:
9
試卷資訊
所屬科目:
電路學
選擇題 (0)
申論題 (9)
題目一:【10分】
有一個40mH的電感器,已知通過該電感器的電流i(t)=200sin 500t(mA),試求跨於此電感器兩端之電壓。
題目二:【10分】
某電阻、電感電容串联指振电路之電阻為20Ω,電感為2mH,電容為2μF,試求電路的 諧振頻率f
0
與電路的品質因數Q。
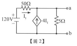
題目三:【10分】
某電路的電壓源V(t)之拉普拉斯轉换(Laplace Transform為V(S)=
,試求 v(t)的表示式。
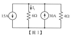
題目四:【10分】
在【圖1】電路中,試求電流Ii?
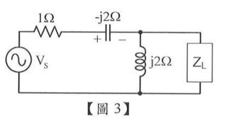
題目五:【10分】
在【圖2】電路中,求a與b端點間的戴維寧等效電阻
與戴維寧等效電壓
。
題目六:【10分】
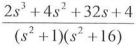
在【圖3】電路中,
為可調變的阻抗,若電座源Vs=80∠0°伏特,
獲得的最大功率為多少瓦特?
題目七:【10分】
在【圖4】電路中,電感初值為零,開關S在t=0t秒時閉合,試以拉普拉斯轉換法(Laplace Transform)求電流i。
題目八:【10分】
在【圖5】電路中,已知電容器電壓初值v(0)=8V,試求 t ≥ 0時之電流i(t)。
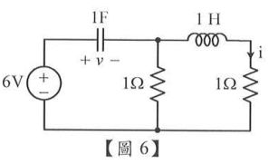
題目九:【20分】
在【圖6】電路中,電容器電壓初值V(0)=2V,電感器電流初值i(0)=1A,求t>0時的電流i。
相關試卷
115年 - 115 身心障礙特種考試_三等_電子工程:電路學#138936
115年 · #138936
114年 - 114 地方政府公務特種考試_三等_電力工程、電子工程、電信工程:電路學#134770
114年 · #134770
114年 - 114 專技高考_電機工程技師:電路學#133707
114年 · #133707
114年 - 114 專技高考_電子工程技師:電路學#133700
114年 · #133700
114年 - 114 公務升官等考試_薦任_電力工程、電子工程、電信工程:電路學#133241
114年 · #133241
114年 - 114 高等考試_三級_電力工程、電子工程、電信工程:電路學#128784
114年 · #128784
113年 - 113-2 國營臺灣鐵路股份有限公司_從業人員甄試_第8階-助理工程師-電機:電路學#137142
113年 · #137142
113年 - 113 地方政府公務特種考試_三等_電力工程、電子工程:電路學#124508
113年 · #124508
113年 - 113 專技高考_電機工程技師:電路學#123962
113年 · #123962
113年 - 113 專技高考_電子工程技師:電路學#123933
113年 · #123933