所屬科目:研究所、轉學考(插大)◆災害分析與統計
一、請用政府間氣候變遷專門委員會(IPCC)於2014年第5次評估報告中所提出的災害風險概念圖(下圖1),分析2009年莫拉克颱風時,屏東縣林邊鄉與佳冬鄉的淹水風險。
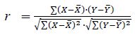
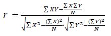
四 、 請將 Pearson Product moment Correlation Coefficient 的運算公式進行公式推導,使其最終能呈現 。