所屬科目:電路學
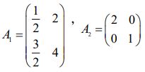
一、如圖一所示,一電路為兩個具前向傳送參數(Forward Transmission Parameters)之雙埠電路 A1 及 A2 串接(Cascaded)所組成,其中, ,則電壓增益 為何?
二、如圖二所示,一電路是由兩子電路串接(Cascaded)所構成,如果此兩子電路之脈衝響應為 ,則此電路之脈衝響應為何?
三、如圖三所示,直流輸入電壓Vi 為 120 V,a、b、c 三端點構成一單刀雙切的開關,且 k 為線性變壓器 T 之耦合係數,L1 為一次側自感,L2 為二次側自感。當於 t = 0 時,開關由 a 端切至 b 端,請問 i (t ) 之表示式為何?
四、如圖四所示,若直流輸入電壓 為 10 V,電壓控制相依電壓源之值為 3v V, 且電流控制相依電流源之值為 20i A,則由 a、b 兩端觀入之戴維寧等效 電阻為何?