所屬科目:技檢◆化工-丙級
1. 比例帶愈狹小其控制動作速度(A)愈慢(B)愈快(C)不穩定(D)一定。
2. 何種泵可輸送略含固體粒子的流體?(A)往復泵(B)真空泵(C)離心泵(D)齒輪泵。
3. 下列各芳香族化合物中,何者不是染料製造時的主要原料(A)菲(B)萘(C)苯(D)蒽。
4. 流體在流經下列何種閥時,因流動方向改變較大,致流體的摩擦損耗通常很大?(A)閘閥(B)球閥(C)旋 塞(D)單向閥。
5. 冷凍食品該如何讓它退冰,才是既「節能」又「省水」?(A)烹煮前盡早拿出來放置退冰(B)直接用水 沖食物強迫退冰(C)用熱水浸泡,每 5 分鐘更換一次(D)使用微波爐解凍快速又方便。
6. 列管蒸發器中,何種型式的總熱傳送係數最大?(A)長管式蒸發器(B)強制循環式蒸發器(C)橫管式蒸發 器(D)立式短管蒸發器。
7. 若要分析農業區內之排放水受到各種農藥的污染情形或程度時,應使用何種儀器較適當?(假設農 藥是為高分子量及高沸點的有機物)(A)H PLC(B)IR(C)AA (D)UV。
8. 不可壓縮的流體在圓管內流動時,流速之最大處是位在(A)離管中央之 1/3 處(B)離管中央之 1/2 處(C) 管壁處(D)管中央處。
9. 儀器不靈的原因可分儀器本身、接線、外來干擾及接觸等,其中最不容易查出原因的是(A)接觸(B)外 來干擾(C)接線(D)儀器本身。
10. 欲將牛奶乾燥製成奶粉,以何種乾燥器較適當?(A)噴淋乾燥器(B)盤式乾燥器(C)流體化乾燥器(D)旋轉 乾燥器。
11. 醇類與醚類可用下列何種試劑予與區別?(A)Br 2 /CCl 4(B)ZnCl2 /HCl(C)金屬鈉(D)AgNO3+NH4 OH。
12. 鋁材實施陽極表面處理的主要目的是為(A)增加材料的延展性(B)增進材料的耐腐蝕性能(C)增強材料的 硬度及強度(D)降低材料的粗糙度 以促進表面之光滑平整。
13. 下列何種金屬製容器散熱最慢?(A)銀(B)鐵(C)不鏽鋼(D)銅。
14. 陽離子交換樹脂之再生反應常藉何物以回復其交換機能(A)HCl(B)K Cl(C)NaOH(D)Na2CO3。
15. 造紙過程常須添加白土、黏土等填料,其目的是在於(A)減少紙張的透明度(B)增加纖維間的膠結力(C) 防止墨水滲散(D)防止纖維變質。
16. 下列何種開發行為若對環境有不良影響之虞者,應實施環境影響評估:
A.開發科學園區;B.新建捷 運工程;C.採礦。(A)BC(B)AB(C)A BC(D)AC。
17. 氣動式壓力傳送器,當壓力增大時,下列各項之敘述中何者正確?(A)輸出壓力變小(B)伸縮囊伸長(C) 電流變大(D)擋葉與噴嘴間之間隙變大。
18. 下列各分子中,何者不具有雙鍵?(A)CH3 CHCH2(B)順丁烯二酸(C)N2 F 2(D)CH3 NH2。
19. 減輕皮膚燒傷程度之最重要步驟為何?(A)立即刺破水泡(B)儘速用清水沖洗(C)在燒傷處塗抹麵粉(D)立 即在燒傷處塗抹油脂。
20. 欲以 100%雙氧水加入純水,配製濃度為 30%的過氧化氫水溶液,用作傷口殺菌劑時,此溶液中雙 氧水與純水之比例為何?(A)30g:70g(B)100g:30g(C)70g:70g(D)50g:50g。
21. 何種元素含量之多少,對鐵與鋼之性質有顯著之影響,故成為鐵合金之分類基礎?(A)矽(B)硫(C)錳(D) 碳。
22. 下列哪一種氣體較易造成臭氧層被嚴重的破壞?(A)二氧化硫(B)氟氯碳化物(C)氮氧化合物(D)二氧化 碳。
23. 25℃時,CaO 之溶解度為 0.112g/100gH2 O,此飽和溶液之 pH 值為何?(A)7<pH<10(B)pH>12(C)pH <7(D)10<pH<12。
24. 一般電子式傳送器最常用的信號範圍是______伏特。(A)10-50mA(B)4 -20mA(C)5-20psi(D)2-4
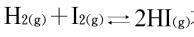
25. 在 t℃時 之平衡常數為 64,在同溫下, 的平衡常數為多少? (A)32(B)8(C)4(D)16。
26. 賦予塗膜色彩並使塗膜因而具有遮蔽的能力的成分為(A)乾燥劑(B)顏料(C)硬化劑(D)可塑劑。
27. 「度」是水費的計量單位,你知道一度水的容量大約有多少?(A)2,000 公升(B)1 立方公尺的水量(C)3000 個 600cc 的寶特瓶(D)3 立方公尺的水量。
28. 配製 0.1N、250mL 的 Na2CO3 標準液,須用多少公克的 Na2CO3?(A)1.0525g(B)2.650g(C)3.625g(D)1.325g。
29. 下列各項之敘述何者錯誤?(A)任何物體只要溫度高於絕對零度時就會有輻射現象(B)黑體和灰體之放 射度與其吸收度均相等,且與外界的溫度無關(C)輻射作用中反射率、吸收率與穿透率三者之和等於1(D)有傳導和對流存在時,輻射就不會發生。
30. 若 ;,則的 E°值為多少?(A)a -b(B)(C)a +b(D) 。
31. 目前製造 NaOH 的主流方法為(A)半透膜法(B)苛性化法(C)水銀法(D)鐘形法。
32. 物質熱傳導度大小的次序為(A)液體>金屬>氣體(B)氣體>液體>金屬(C)金屬>非金屬>氣體(D)液體 >氣體>金屬。
33. 透過淋浴習慣的改變就可以節約用水,以下的何種方式正確?(A)淋浴沖澡流下的水,可以儲蓄洗菜 使用(B)淋浴流下的水不可以刷洗浴室地板(C)等待熱水前流出的冷水可以用水桶接起來再利用(D)淋浴 時抹肥皂,無需將蓮蓬頭暫時關上。
34. 安全門或緊急出口平時應維持何狀態?(A)門應關上但不可上鎖(B)與一般進出門相同,視各樓層規定 可開可關(C)門可上鎖但不可封死(D)保持開門狀態以保持逃生路徑暢通。
35. 在同一操作條件下,煤、天然氣、油、核能的二氧化碳排放比例之大小,由大而小為:(A)煤>天然 氣>油>核能(B)油>煤>核能>天然氣(C)油>煤>天然氣>核能(D)煤>油>天然氣>核能。
36. 何種的旋轉泵在泵送流體時,可以產生最高的壓力?(A)螺旋泵(B)齒輪泵(C)凸輪泵(D)滑葉泵。
37. 多效蒸發器的各種進料方法中,何種進料法是罐與罐間之進料不用泵浦,而是利用壓差來輸送且是 用閥來控制進料的流量?(A)平行進料法(B)混合進料法(C)逆流進料法(D)順流進料法。
38. 成形之玻璃置於適當溫度的室內而令其徐徐冷卻,是為防止應變或除去內應力,此項作業稱之為(A) 整修(B)冷凝(C)退火(D)熱處理。
39. 鹼金屬中,何者之還原電位最低?何者之光電效應最好?(A)Fr;Na (B)K;Cs(C)Li;Cs(D)K;Rb。
40. 水蒸氣表(steam table)的參考狀態是以下列水之何種狀態為基準(A)臨界點(B)冰點(C)沸點(D)三相點。
41. 在化學工業上,當所處理的傳熱負載為較大量時,下列何者為其最常使用之熱交換器?(A)板式熱交 換器(Plate-type heat exchanger)(B)雙套管熱交換器(Double-pipe heat exchanger)(C)螺旋管式熱交換器 (Coil-tube heat exchanger)(D)殼管式熱交換器(Shell-and-tube heat exchanger)。
42. 一組數據,共有 6 個,為 2﹐9﹐8﹐6﹐4﹐10,則其中位數為(A)8(B)5(C)7(D)6。
43. 今有一連續操作式精餾塔,在大氣壓下此塔每小時需分離 3000kg 之苯與甲苯的混合物,若進料中 苯之質量分率為 0.4,塔頂產物中苯之質量分率為 0.80,塔底產物中甲苯之質量分率為 0.80,則塔 底產物每小時為多少 kg?(A)2000(B)1000(C)500(D)1500。
44. 配製 Na2 S2O3 標準液時,常加入少量的 Na2CO3,其目的是為下列何者?(A)使溶液呈鹼性,有利滴 定進行(B)使溶液中之能形成 CaCO3 沉澱(C)使溶液呈弱鹼性,細菌不易起分解(D)使溶液能有 CO2 不斷放出。
45. 可用來精確控制流體流量大小的管件為(A)單向閥(B)閘閥(C)安全閥(D)球閥。
46. 下列何者非化工單元操作?(A)硝化(B)蒸餾(C)萃取(D)氣體吸收。
47. 當在酸性 KMnO4 溶液中加入下列那一種酸時,其顏色會立即褪去?(A)H2 SO4(B)HClO4(C)H2 C2O4(D)H3PO4。
48. 在工廠設備上儀表壓力之 SI 單位為:(A)Pa(B)mm Hg(C)atm (D)psi。
49. 在白色顏料中,何者因遮蓋力強且成本低,故用量最多?(A)氧化鋅(B)二氧化鈦(C)鹼式硫酸鉛白(D)鋅 鋇白。
50. 熱量傳送推動力是為(A)電位差(B)濃度差(C)溫度差(D)壓力差。
51. 質量為 100 kg 的水以 10 m/s 之速度流動時,其動能為(A)5000J(B)10000J(C)1000J(D)2500J。
52. 下列何者的對流熱傳係數最大?(A)水沸騰(B)空氣自然對流(C)水自然對流(D)空氣強制對流。
53. 近年來臺灣桃園地區所發生的「痛痛病」是何種重金屬所引起的(A)鎘(B)鉛(C)銀(D)汞。
54. 同溫下 pH=2 的溶液中其〔H+〕為 pH=5 的溶液中〔H+〕的多少倍?(A)0.001(B)2.5(C)3(D)1000。
55. 下列何者不是設置反貪腐專責機構須具備的必要條件?(A)使該機構的工作人員行使職權不會受到不 當干預(B)提供該機構必要的資源、專職工作人員及必要培訓(C)賦予該機構必要的獨立性(D)賦予該機 構的工作人員有權力可隨時逮捕貪污嫌疑人。
56. 那一屬的離子因無共同沉澱劑,故又稱為溶性屬?(A)Gr. Ⅱ(B)G r.Ⅴ(C)Gr.Ⅳ(D)Gr. Ⅲ。
57. 一般為加速溶液中之微細粒子的沉澱,以使溶液澄清而常用(A)過濾(B)篩析(C)攪拌器(D)離心機。
58. 含鎳 40~50%之何種鎳-銅合金,可作熱電偶溫度計的材料?(A)砲銅(Gun Metal)(B)蒙納合金(Mo nel Metal)(C)康銅(Constantan)(D)青銅(Bronze)。
59. 目前最重要之海水淡化法中,何者成本最低?(A)冷凍法(B)離子交換膜電透析法(C)多效蒸發法(D)半透 膜法。
60. 含有鉻離子的廢液絕不可與下列何者混存(A)鹼性物質(B)酸性物質(C)水(D)食鹽水。
61. A 受僱於公司擔任會計,因自己的財務陷入危機,多次將公司帳款轉入妻兒戶頭,是觸犯了刑法上 之何種罪刑?(A)詐欺罪(B)侵占罪(C)洩漏工商秘密罪(D)偽造文書罪。
62. HLB 值在多少範圍的界面活性劑為適當的合成洗劑(A)13~15(B)20~24(C)10~13(D)9~12。
63. 下列何者非屬使用合梯,應符合之規定?(A)梯腳與地面之角度應在 80 度以上(B)合梯材質不得有顯 著之損傷、腐蝕等(C)合梯應具有堅固之構造(D)有安全之防滑梯面。
64. 非公務機關利用個人資料進行行銷時,下列敘述何者「錯誤」?(A)若已取得當事人書面同意,當事 人即不得拒絕利用其個人資料行銷(B)當事人表示拒絕接受行銷時,應停止利用其個人資料(C)倘非公 務機關違反「應即停止利用其個人資料行銷」之義務,未於限期內改正者,按次處新臺幣 2 萬元以 上 20 萬元以下罰鍰(D)於首次行銷時,應提供當事人表示拒絕行銷之方式。
65. 下列流體輸送裝置,何者最適合高黏度液體之輸送?(A)離心泵(B)往復泵(C)迴轉泵(D)真空泵。
66. 黃鐵礦為何不適於直接煉鐵?(A)鐵之含量太低(B)直接煉製所得之鐵,會因含碳量太高而無法再製成 其他合金鋼(C)含有多量之硫(D)雜質太多。
67. 硫酸之濃度在多少%以下時,通常都採比重表示且慣用波美度(Be ')(A)68%(B)82%(C)98%(D)93%。
68. 在恆速過濾時,操作壓力會隨時間而(A)遞減(B)遞增(C)維持不變(D)先增後減。
69. 黑體的溫度由 400K 上升至 800K 時,其輻射強度增為幾倍?(A)8 倍(B)16 倍(C)4 倍(D)2 倍。
70. 二氧化碳和其他溫室氣體含量增加是造成全球暖化的主因之一,下列何種飲食方式也能降低碳排放 量,對環境保護做出貢獻:A.少吃肉,多吃蔬菜;B.玉米產量減少時,購買玉米罐頭食用;C.選擇 當地食材;D.使用免洗餐具,減少清洗用水與清潔劑?(A)AD(B)A C(C)A CD(D)A B。
71. 關於離心泵,下列敘述何者錯誤?(A)操作方式是藉離心力將流體沿半徑方向逐出泵外(B)主要是依靠 高速旋轉的葉輪產生的離心力輸送液體(C)啟動方式是先將泵內充滿空氣,然後啟動電機(D)石油、化 學工業中廣泛應用的一種液體輸送機械。
72. 尿素、氮和石灰能做為肥料,其主要原因為細菌將它分解為何物,而被植物吸收(A)N H3(B)NO(C)NH4 Cl(D)N2。
73. 有關著作權的下列敘述何者錯誤?(A)將補習班老師的上課內容錄音檔,放到網路上拍賣,會構成侵 害著作權(B)在網路散布盜版光碟,不管有沒有營利,會構成侵害著作權(C)撰寫碩博士論文時,在合 理範圍內引用他人的著作,只要註明出處,不會構成侵害著作權(D)在網路的部落格看到一篇文章很 棒,只要註明出處,就可以把文章複製在自己的部落格。
74. 漂白粉因其在分解過程中,會產生何物致起強烈氧化作用而生漂白之效?(A)初生氯(B)初生氮(C)初生 氫(D)初生氧。
75. 使用貝克曼溫度計可精密測量出(A)反應前後之溫度差異(B)氣溫之高低(C)熱量計中之燃燒溫度(D)濕球 溫度。
76. 關於惰性氣體的敘述何者錯誤?(A)飛船及氣球以氦充填是為了安全(B)氡具放射性(C)用氬氣稀釋氧氣 可防止潛水夫病(D)紅色霓虹燈充填的氣體是氖。
77. 下列各有機化合物中,何者之分子結構內具有不對稱碳原子?(A)CH2 BrCl(B)CH3 CH2 CH=CH2(C)CH3 CHOHCH3(D)CH2 BrCH2 Br。
78. 職場內部常見之身體或精神不法侵害不包含下列何者?(A)強求勞工執行業務上明顯不必要或不可能 之工作(B)使勞工執行與能力、經驗相符的工作(C)脅迫、名譽損毀、侮辱、嚴重辱罵勞工(D)過度介入 勞工私人事宜。
79. 電氣設備裝設於有潮濕水氣的環境時,最應該優先檢查及確認的措施是?(A)有無過載及過熱保護設 備(B)電氣設備上有無安全保險絲(C)有無在線路上裝設漏電斷路器(D)有無可能傾倒及生鏽。
80. 在一定溫度下,定量之理想氣體的體積和(A)壓力成反比(B)比重成正比(C)壓力成正比(D)比重成反比。