2. Two horizontal, infinite, parallel plates are spaced a distance b apart, please see the following
figure. A viscous liquid is contained between the plates. The bottom plate is fixed (y = 0), and the
upper plate (y = b) moves parallel to the bottom plate with a velocity U. Because of the no-slip
boundary condition, the liquid motion is caused by the liquid being dragged along by the moving
boundary. Assuming that there is no pressure gradient in the direction of flow (x-direction) and the
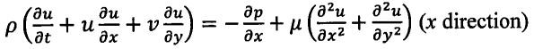
flow is steady and incompressible without the y-component velocity. (a) Derive the governing
equation of the above 2-D flow from the x-direction Navier-Stokes equation (see below). (b)
Determine the velocity distribution between the plates. (c) Determine an expression for the
flowrate per unit width passing between the plates. Express your answers of (b) and (c) in terms
of b and U. (25%)

