5. As shown in Fig. 4, a tank with fixed volume,
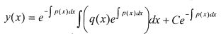
contains brine with initial density, ρi, greater than water. Pure water enters the tank steadily and mixes thoroughly with the brine in the tank. The liquid level in the tank remains constant. Derive expressions for (a) the rate of change of density of the liquid mixture in the tank, and (b) the time required for the density to reach the value ρf, where, ρi > ρf > ρH2O Note: A first-order lincar differential equation:y'(x)+ p(x)y = q(x). Its solution is
