所屬科目:中山◆電機◆控制系統
(a) (8%)Write the dynamic equations of this control system in state space form. i.e., Is this system controllable or observable?
(a) I. (6%) Sketch the Nyquist plot of this system for K > 0 in accordance with Fig. 2. Ⅱ. Indicate clearly each mapping of point a:(2%)(0+jω,ω→∞+), b:(2%)(0+jω,ω→2+), c:(2%) (),d:(2%) (0+jω,ω→2-) and e:(2%) (ω= 0) in your plot.
(b) (6%) Suppose that the Nyquist plot (K>0) in part (a) is depicted in Fig. 3, and it has an intersection with axis Re(L(s) at K. Using Nyquist criterion and Fig. 3, determine the range of K <O such that the closed-loop system is stable. If the system is unstable due to the range of K, find the number of closed-loop pole(s) in the right-half of s-plane.
(b) (3%) In addition to the specifications (i) to (iil), another requirement is that the steady-state error due to a unit-step input function is less than 0.01. According to this requirement, write down the mathmethical constraint(s) of a., KPand KI .
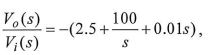
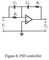
Problem 5 (20%) An operational amplifier in Fig. 6 is used to implement a PID controller Given R2=5 kQΩ and C2=1 pF, determine the required values R1and C1.