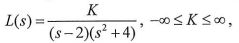
Problem 2 (22%) Consider a control system with the following loop transfer function
whose Nyquist path is shown in Fig. 2.
(a) I. (6%) Sketch the Nyquist plot of this system for K > 0 in accordance with Fig. 2.
Ⅱ. Indicate clearly each mapping of point a:(2%)(0+jω,ω→∞+), b:(2%)(0+jω,ω→2+),
c:(2%) (
),d:(2%) (0+jω,ω→2-) and e:(2%) (ω= 0) in your plot.