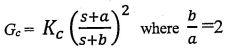
(b) Use Nyquist Criterion, Z=N+P, to figure out the stability of the closed-loop system with the controller
satisfying with (a). (Notes: To get points, you must get the correct controller, draw the correct Nyquist plot of
and give the correct values of Z, N, and P.)