所屬科目:研究所、轉學考(插大)◆控制系統
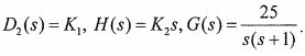
(b) The control performance in Fig.1(a) can be improved by the system in Fig. 1(b) with. Please design Ki and K2 to achieve 25% s(s+1) overshoot and settling time 0.2 sec. (15%)
(c) In order to improve the stability, a zero is added in the controller as D(s)= K(s + a) to make the root locus cross the jw-axis at ±j5.5. Please find the value of a, and sketch the new root locus.(10%)
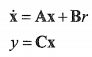
(a) Please derive the state space equation of the closed-loop control system. (10%)
(b)Please solve the gain Ka and K, for the closed-loop poles located at-2 ± j2.(15%)