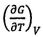
(a) Derive an expression for

. in terms of the state variables, including I, P, S, V, and the measurable properties of the system, including the heat capacities,

and C,, the isobaric thermal expansivity, a, and the isothermal compressibility, B. A is the Helmholtz free energy defined as U - TS.