所屬科目:研究所、轉學考(插大)-有機化學
1. What hybridization do you expect the carbon atom of the following methyl carbocation to have? (A)sp (B)sp2 (C)sp3(D) The carbon atom is not hybridized.
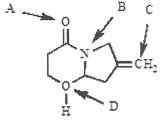
2. What atom would have a formal charge in the right structure? (A)A (B)B (C)C(D)D
3. Which of the following describes the relationship between the following two structures? (A) identical structures(B) resonance forms(C) constitutional isomers (D) different compounds with different compositions
5. How many constitutional isomers are there with the molecular formula ? (A)3 (B)4 (C)5 (D)6(E)8
8. Which of the following compounds is (are) achiral? (A) only I(B) only II (C) only I and II (D) only II and III (E) I, II, and III
9. What is the relationship between the following pair of structures? (A) They are enantiomers. (B) They are diastereomers. (C) They are constitutional isomers. (D) They are identical with different conformations.
12. Which of the following ions are aromatic species? (A) I and III (B) II and III (C) II and IV (D) III and IV
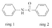
14. Where would the compound shown below undergo bromination with Br2/FeBr3? (A) ortho/para position on ring 1 (B) meta position on ring 1 (C) ortho/para position on ring 2 (D) meta position on ring 2
16. What is the IUPAC name of the following compound? (A) 3-bromo-2-methylcyclohexene (B) 1-bromo-2-methy1-2-cyclohexene (C) 6-bromo-1-methylcyclohexene (D) 2-bromo-1-methylcyclohexene
17. In the reaction, the "2" stands for (A) two reactants in the reaction. (B) two steps in the reaction. (C) two intermediates in the reaction. (D) bimolecular kinetics for the reaction.
18. Which of the following reacts the fastest by the mechanism? (A) CH3Br (B) CH3CH2Br (C) (CH3)2CHBr (D) (CH3)3CBr
19. Identify the mechanistic pathways, respectively, for the products in the following reaction. (A) (B) (C) (D)
24. What is the product of the following reaction? (A) (B) (C)(D)
25. What is the product of the following reaction? (A) (S)-1,2-propanediol (B) (R)-1,2-propanediol (C) racemic mixture of 1,2-propanediol(D) 1,3-propanediol
(a)
(b)
(c)
(d)
(e)
2. Addition of HC1 to 1-isopropylcyclohexene yields a rearranged product. Propose a mechanism, showing the structures of the intermediates and using curved arrows to indicate electron flow in each step. (5 分)