所屬科目:研究所、轉學考(插大)-常微分方程
(2) Find the integrating factor of the form . (10pts)
3. Solve the following initial value differential equation: (15pts)xy'+y-ef=0, y(l)=e
4. Solve the following differential equation: (20pts)
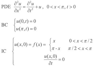
5. Please solve the following boundary value problem: (25pts)