所屬科目:研究所、轉學考(插大)-常微分方程
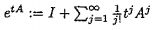
(a) (10 points) Calculate, where I is the two by two identity matrix.
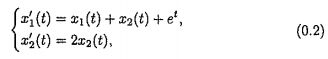
(b) (10 points) Solve the differential systemwith initial condition X(0) = (1,0)T.
2. (20 points) Solve the differential equation
with initial condition x(0) =x'(0) = 0, x"(0) = 1.
3. (20 points) Solve the differential equationwith initial condition x(0) = 0.
(a) (10 points) Find the value of Φ(π).
(b) (10 points) Let X(t) be any other solution of (0.4). Show that
5. (20 points) Solve the differential equation