Question IV (48 points, 6 points each)
A problem of interest to health officials is to determine the effects of smoking during pregnancy on infant
health. One measure of infant health is birth weight; a birth weight that is too low can put an infant at risk for
contracting various ilinesses. Our data sct contains data on births to women in the United States. Two variables
of interest are the dependent variable, infant birth weight in grams (bwght), and qan explanatory variable,
average numbet of cigarettes the motber smoked per day during pregnancy (cigs). We also take other factors
into accoun unt and specify the model as
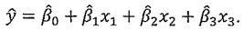
where
The estimates of this equation, obtained using the method of ordinary least squares (OLS), are given in column
(1) of Table 1. Standard errors are listed in parentheses.
6. Interpret the coefficient on cigs. In particular, what is the effect on bught from smoking 10 more cigarettes
per day?