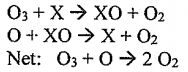
b) (16 pts) The predicted [O3] profile based on steady-state assumption overestimates theO3 concentrations by a factor of 2 or more as shown in Figure 1-1 due to the missing sinks for O3, i.e., HOx, NOx and ClOx with the following propagation reactions:
X is a catalyst such as OH, NO, and Cl Please describe what the initial chemical con mponents associated with HOx, NOx, and ClOx, and where they come from, and how the initial HOx, NOx, and ClOx are formed (the initiation step for radical formation).(明確描述在平流層産生HOx,NOxand CIOX的最原始物質及其來源為何,這些原始物質如何進到或出現在平流層,如何初步產生 HOx, NOx, and ClOx).