所屬科目:研究所、轉學考(插大)◆熱力學
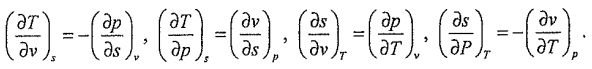
(a) Derive the so-called Maxwell relations: (10%)
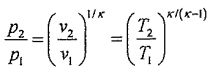
(b) Show that for an isentropic process of an ideal gas reiating state 1 and state 2, where x is the specific heat ratio. (10%)