所屬科目:研究所、轉學考(插大)◆熱力學
(a) (5%) Suppose you want to operate an ideal refrigerator with a cold temperature of -10.0℃, and you would like it to have a coefficient of performance of 7.00. What is the hot reseryoir temperature for such a refrigerator?
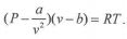
3. Please derive (a) (8%) the Joule-Thomson coefficient and (b) (7%) the inversion temperature for a gas whose equation of state is
(b) (7%) The amount of mass that escapes the tank. For nitrogen, MPa. Please state clearly all of your assumptions.
5. (10%) The ambient temperature in an outdoor ice-skating rink is at -5℃. How much force should one exert to skate smoothly at this temperature if the width and length of the skate blade are 1 min and 30 cm ? Assume that enthalpy of fusion for water is 333.55 J/g. The density of water and ice at this temperature are assumed 1000 kg/m3and 917.5 kg/m3. Please state clearly all of your assumptions.
(a) (10%) Derive the net work per cycle in terms of Cν, temperature, and compression ratio Rc.
(d) (5%) What is the maximum theoretical efficiency of this engine if the fuel-air mixture is initially at 25℃ and the mixture is compressed by a factor of 7.8?