所屬科目:研究所、轉學考(插大)-微積分
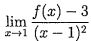
1. Suppose that f"(t) exists and lim , = -1. The equation of the tangent line at x=1 is__(1)__ .Let g(x)=.Then g"(l)= __(2)__ .
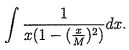
2. Suppose that f(u) is continuous and f(u) > 0 for all u. Let g(x) =. Then g(x) obtins local mnaximum at x= _(3)__. g(1)= du, where h(u)=__ (4)__.
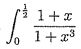
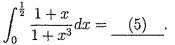
(b) Writeas the sum of the series, where an =__(6)__.
(c) Use a partial sum of the series from (b) with least terms to estimnate the number n within error π. Answer = __(7)__.
(a) At (1,2,-1), ∇f=__ (8)__.
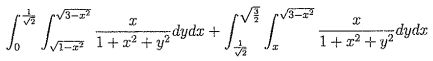
5. Evaluate the double integral =__ (10)__ .
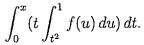
(a) First compute
(c) Find
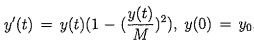
(a) Solve for the max um production,, in terms of C and a.
(b) Compute, and C = 1000.