所屬科目:研究所、轉學考(插大)◆統計學
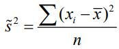
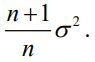
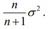
1. x1 , x2 , x3 ,...., xn are randomly samples from a normal population N ( μ , σ2 ) . If we use to estimate σ2 , then = (A) (B)σ2 (C) (D)
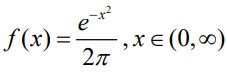
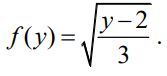
2. A continuous random variable X has the following probability density function: f ( x) = , 0 ≤ x ≤ 2 . If we have another other random variable Y = 3 X2 + 2 , the probability density function of Y is (A) (B) (C)f(y)=3(4y-1)2+2 (D)
3. Following 2., Pr( y ≤ 5 )= (A) (B) (C) (D)
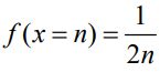
6. The probability density function of discrete random variable x is : , the which of the followings is not true ? (A) p lim x = 1 . (B) (C) (D) x will converge to a given vale.
7. n samples are drew from a normal distribution N ( μ , σ2 ) , = (A)σ2 (B)μ2(C)σ2+μ2 (D)
11. What is the estimated the slope when the regression equation y = α + β x + u passes through the origin? (A) (B) (C) (D)
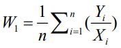
12. For positive random variables X and Y , suppose E (Y / X ) = θ X , which of the following is false ? (A) If a random variable , then E ( Z ) = θ . (B) The estimator is unbiased for θ . (C) The estimator is biased for θ . (D) W2 is not the same as W1 .
15. 20 white balls and 8 black balls were in a box, then John picks the ball form the box 4 times and does not put the picked ball back into the box each time. If we define random variable X as the number of black ball(s) picked, then Var ( X ) = (A) (B) (C) (D)
17. X and Y are two random variable, , if E ( X / Y ) = Y 2 , E (Y / X ) = -16 + 2 X , then Cov( X , Y ) = (A) 1. (B) 2. (C) 4 (D) 8.
19. Which of the following probability density functions of a random variable X has E ( X ) = Var ( X ) ? (A) (B) (C) (D)
20. Two sets of samples { X1 , X2 ,..... X m } and {Y1 , Y2 ,.....Yn } ( m > n ) were drew independently from a population N (μ , σ2 ) , we have two estimator to estimate μ . Which of the following statement is true? (A) (B) (C) (D)
(1) What’s the OLS regression function ? (6%)
(2) ? Does X have significant impact on Y ? ( α = 0.05 ).(4%) = 0.05 .
(1) Find in terms of and α1 (3%). Verify that is unbias for α1 when = 0 . (2%)
(2) Find .(3%) Show that (2%)
(1) If we regress xi where d 2 ≠ 0 , let be the intercept and be the intercept of the new regress function, please find and ?(6%)
(2) If we regress on , let be the intercept and be the slope of the new regress function, please find and ? (4%)
(1) If we regress be the intercept and be the slope of the new regress function, please find ?(6%)
(2) If we regress be the intercept and be the slope of the new regress function, please find ?(4%)