阿摩線上測驗 登入

申論題資訊

試卷:110年 - 110 國立高雄大學_碩士班招生考試_經營管理研究所(無組別):統計學#102198
科目:研究所、轉學考(插大)◆統計學
年份:110年
排序:0

題組內容

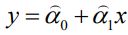
III. (i)We have n observations to get OLS regression function 6169292927fe2.jpg .

申論題內容

(1) If we regress 61692945cb834.jpg xi where d 2 ≠ 0 , let 61692964f393c.jpg be the intercept and 616929707406d.jpg be the intercept of the new regress function, please find 61692979d8047.jpg and 6169298010fbf.jpg ?(6%)