阿摩線上測驗
登入
首頁
>
微積分
> 110年 - 110 普通考試_天文、氣象:微積分#102211
110年 - 110 普通考試_天文、氣象:微積分#102211
科目:
微積分 |
年份:
110年 |
選擇題數:
0 |
申論題數:
7
試卷資訊
所屬科目:
微積分
選擇題 (0)
申論題 (7)
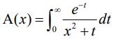
一、求積分之近似解:
積分
,其中 x
2
為很大的數值,求 A(x)之前兩項並估計誤差之數量級。
(一)寫出 P 點在任何時間 t 之坐標。
(二)寫出 P 點在任何時間 t 之速度。
(三)若 U=V,求 P 點轉一圈的軌跡長度。
(一)
(二)
四、面積分,函數 f (x) = sin(x) , g(x) = cos(x) ,如圖所示。
求兩函數在灰色區域之面積。