所屬科目:土壤力學
一、某護岸堤堰填土,填方土壤夯實曲線,ωOMC = 10.5%、, 如圖 1 所示,目前卡車進土 4116.0 KN 濕土,濕土含水量 9.5%,請問此次填土需再添加多少水量 Ww (m3) ?
[註:1 t = 9.8 KN]
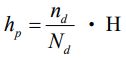
(一)借土區 A 的最大乾密度 與最佳含水量 ωOMC,A = ?(%), 要求 CBR ≥ 9,則工地密度, 設計工度壓密度
(二)借土區 B 的最大乾密度 與最佳含水量 ωOMC,B = ?(%), 要求 CBR ≤ 9,則工地密度, 設計工度壓密度
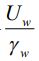
(一) 流線網中滲流水頭 , 請利用柏努利能量守恆定律 (Bernoulli's Law),由下游水面 O 點推求壩基 A 點之壓力水頭為 。
註:柏努利能量守恆定律總水頭
ΣH = Zp(位置水頭)+ (壓力水頭)+ (速度水頭)+hp(滲流水頭)
(二)下游最高流線最後一格流線網的流砂安全係數 =?
(三) 圖 6 中流線網之流槽數 Nf = 4 、 等勢能落差數 Nd = 18 , 若,請問一天的滲流量 Q = ?(m3/天)
(四)請以 計算重力壩底 a、b、c、d、e、f、g 點之水壓力 各為多少?及壩底區塊 1◇achi、區塊 2◇deij、區塊 3◇fgjk 各別底部之浮力 對各重力壩區塊之安全係數 (單位厚度分析)?